沉字的起名寓意含义,沉字取名有什么意义
- 拼音 chén
- 注音 ㄔㄣˊ
- 五行属性 水
- 部首 氵
- 部外笔画 4画
- 总笔画 7画
- 康熙字典:笔画 (沉:8)画
- 部首笔画 4画
- 康熙字典:部外 4画
- 五笔 ipmn|ipwn
- 郑码 vwqd
- 仓颉 ebhn
- 四角号码 37117
- 统一码 基本区 U 6C89
- 结构 左右结构
- 吉凶寓意 吉
- 是否为常用字 否
- 姓名学 姓,多用男性
- 推荐度85%
- 文化印象89%
- 字性5
0偏男中性9偏女
姓名学解释:沉浮、沉稳,沉思。寓意性格沉稳,目标清晰,志向远大。
起名意思:意指沉着,沉稳、不慌张等。比如镇定自若。沉也亦指女子漂亮,比如沉鱼落雁。
起名寓意:沉字用着起名寓指稳重、冷静、女子美丽之义,寓意吉祥又有内涵。
使用次数:每千万人出现次数约11889次,用于第一个字占:76%,男孩名字占53%,女孩名字占:47%。
1、沉字五行属性为水,根据五行水克火的原理,沉字起名忌讳用五行属火的字起名;
2、沉字起名忌讳与同韵母én或同声调阳平的字起名,这样读起拗口,没有节奏感;
3、沉字起名忌讳与先祖长辈同字,如果先祖名字中带有沉字,晚辈忌讳用沉字起名。
页码同文本:P610
《字彙》同沈。

◎沉
沈
动词
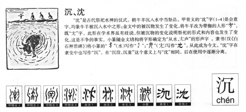
1、(形声。从水,冘()声。甲骨文字形,中间是牛,周围是水,表示把牛沉到水中。商代祭祀用牲的方法。本义:没入水中)
2、同本义
沈,没也。——《广雅》
以狸沈祭山林川泽。——《周礼·大宗伯》。注:“川泽曰沈。”
泛泛杨舟,载沉载浮。——《诗·小雅·箐箐者莪》
皓月千里,浮光跃金,静影沉璧,渔歌互答,此乐何极!——宋·范仲淹《岳阳楼记》
山河破碎风飘絮,身世浮沉雨打萍。——宋·文天祥《过零丁洋》
3、又如:石沉大海;沉溺(沉没水中)
4、埋没。如:沉沦(埋没);沉压(沉抑;埋没)
5、投水。如:沉河(投河自尽);沉湘(指屈原沉入湘江支流汨罗江自尽)
6、古代祭川泽曰沉。因向水中投祭品故名。如:沉祠(古代祭水神之礼仪);沉辜(古代宰牲以祭川)
7、沉迷,沉溺
寡人不祥,被于宗庙之祟,沉于谄谀之臣。——《战国策·齐策四》
细腰沉赵女。——杨敬之《客思吟》
我用沈酗于酒。——《书·微子》。传:“沈,湎也。”
沈酒冒色。——《书·秦誓上》
沈而乐者。——扬雄《法言·寡见》
8、又如:沉饮(沉迷于饮酒);沉酣(沉酒而酣适);沉乱(沉迷昏乱)
9、隐伏;隐没。如:沉伏(隐伏);沉志(谓潜隐志向);沉汉(隐没);沉祟(隐伏的灾祸);沉晦(隐而不露);沉恶(隐伏的罪恶)
10、降落、坠落。如:沉陨(坠落);沉坠(坠落);沉埃(落下的尘埃)
11、沉沦;沦落。 如:沉人(沉沦在下的贤人);沉顿(沉沦顿踬)
12、忍住,压制。如:沉住气;沉下心来
◎沉
名词
1、山岭上凹处的积水
除山川沈斥。——《汉书·刑法志》
2、古水名。
3、陕西省滪水的别名。
4、今四川省射洪县东南的杨桃溪,为涪江的支流
5、指沉香。如:沉速(檀香。因檀木质重速沉,故称);沉速香饼儿(用檀香作主要原料的一种盘香)
◎沉
形容词
1、深。如:沉泉(深泉);沉渊(指深渊。比喻险境;犹言没入深渊之中)
2、深沉。如:沉厚 (深沉而敦厚);沉潜(深沉而不轻浮);沉猜(深沉多疑)
3、份量重,重
无苗时采,则实而沉。——宋·沈括《梦溪笔谈·采草药》
4、又如:一头沉;沉枷(重枷,囚押重犯的大枷)。又指沉重,心思重重的。如:沉困 (沉重,困乏);沉纡(沉重迟缓);沉迟(沉重迟缓);沉悴(忧伤;衰颓;疲萎)
5、病情严重的。如:沉殆(谓病势沉重,生命危殆);沉病(重病;久病);沉疾(重病)
6、沉着。如:沉毅有守(沉着刚毅有主见)
7、稳重。如:沉默默(庄重、静默的样子);沉稳(稳重;安稳)
8、低沉
暮霭沉沉楚天阔。——宋·柳永《雨霖铃》
9、如:沉冥(低沉冥寂);沉细(低沉细微);沉声(声调低沉)
10、沉静。如:沉靖(沉静);沉详(沉静安详)
11、沉闷。如:沉心(心里不愉快);沉屯(沉闷);沉菀(沉郁,郁结不舒)
12、长久。如:沉委(谓久病委顿);沉雨(久雨);沉卧(久卧)
◎沉
副词
1、程度深。如:沉研(深入研究);沉究(深入研究)
2、极,十分。如:沉悲(极度悲伤);沉窘(非常穷困)
《康熙字典:沉》内容系作者个人观点,不代表本站对观点赞同或支持。
如何查看五行缺什么?
- 首先要谨记,五行不是缺什么就补什么,要看五行喜用什么。易经起名网的五行计算方式,是以五行含量计算的,不是按照五行个数计算的。五行含量可以保留到小数点后两位,五行个数只能保留到整数位。五行含量讲的是平衡,并且五行含量是以同类、异类成组对应看的,要让同类五行含量与异类五行含量保持平衡,后选出实际的五行喜用。
起名不满意?
- 起名网提供的在线智能起名服务,给您选取的名字都是按照五行维度给您推荐的名字。起名不满意率几乎很低,原因是提供的需求不明确、追求高分造成的。取名讲究各个维度都符合,而不是追求分数,并不是分数高的名字,就一定适合您的宝宝使用,因为每个宝宝的出生时间都不一样。如果您有任何疑问,联系我们专职售后客服,为您合理解决您所提出的问题。
与 沉字 同音的字
与 沉字 同部首的字
与 沉字 同笔画的字
与 沉字 同五行的字
- 111112026-03-20






